Canvas is a plain-woven fabric made from cotton. The word Canvas is derived from the Latin word “cannabis”, having a meaning “made of hemp”. With technological advancements over the decades, Canvas is made from cotton as well synthetic materials such as n...
Recycled cotton is a material which is obtained generally after converting cotton fabric into cotton fiber. Recycled cotton is basically reused cotton which acts a sustainable product and helps in the environment conservation.
Chemical industry has been major source of inventions from past half a decade where different types of chemicals are tested, tried and verified for future applications. Industrial application of chemicals such as ytterbium fluoride will likely to increase...
Aminophenol is an organic compound that belongs to the group of chemical compound such as aniline and phenol. Aminophenol has further three derivatives i.e. M-Aminophenol, P-Aminophenol, and O-Aminophenol.
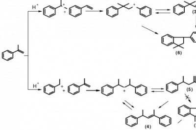
Alpha-Methylstyrene is an intermediate that has a wide range of applications in the manufacturing of plasticizers, polymers, and resins. Alpha-Methylstyrene is known for its ability to enhance the property of styrene-based polymers.
Yeast peptide has attracted significant traction during the recent years. Altogether, 297 yeast peptides derived from 75 proteins were identified. Yeast peptides are similar to that of human peptide in the average size and amino acid composition and is on...
Bovine Collagen contains Type I and Type III collagen which is essential to human skin. These have become more common in the cosmetics industry as a possible remedy for reducing wrinkles, promoting elasticity, and improving skin moisture.
Filled cheese can be modified into vegan cheese and lactose tolerant cheese by using hydrogenated vegetable oil due to which their demand is likely to boost over the industrial forecast period. Rise in vegetarian population, Low cost production is one of...
Sugarcane fiber is used as raw material in the clothing industry to make textile rayon fiber at a low cost. Disposable tableware and bowls are also being made by using sugarcane fiber leading to decreased plastic waste by restaurants. It is a soluble fibe...
Rising disposable income coupled with increasing number of health conscious people across the globe is expected to support the demand for lactoperoxidase market in the future. Lactoperoxidase is an effective antimicrobial agent which leads to its rising d...