views

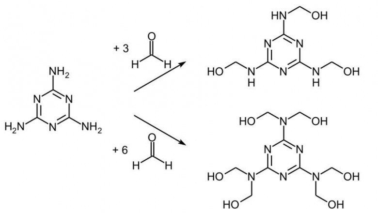
One of the stiffest and hardest thermosetting polymers, melamine (1, 3, 5-triamino-2, 4, 6-triazine) formaldehyde (MF), has good qualities and performance. It is an amino resin that offers a number of material benefits, including transparency, improved hardness, thermal stability, excellent boil resistance, scratch resistance, abrasion resistance, flame retardant, moisture resistance, and surface smoothness, which has helped MF find widespread industrial use. 1 Originally utilised as wood adhesives, these polymers are now used in flooring and decorative laminates, coatings, moulding compounds, and adhesives. 2, 3, and 4 MF resins are used in a wide range of goods that are praised for their durability and relative simplicity of production.
The customised product qualities, including as mechanical, thermal, and electrical properties, are determined by the curing behaviour and level of crosslinking of MF resin. 6 Cured Melamine Formaldehyde polymers are appropriate for interior working surfaces because they are sufficiently rigid and demonstrate good resistance to temperature, chemicals, and hydrolysis. 7 The mechanical strength and surface finishes of MF will be lacking if the resin is not fully cured. For instance, papers that have been impregnated with MF won't be firm, durable, brilliant, or resistant to hydrolysis and chemical agents. 8 The circumstances of the process, such as the molar ratios of the reactants, the pH, and the reaction temperature profiles during resin formation, have a considerable impact on the condensation reaction and the final structure of MF resins. 9, 10 Therefore, research into how MF resins cure is of utmost significance.
Read more- https://bit.ly/3NbqZUW
YouTube Link- https://www.youtube.com/watch?v=PX_1fElDJVo