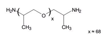
News Poly Ether Amine Market Trend Analysis, Progression Status, Revenue Expectation to 2026 poojadhure 989 views Global Poly Ether Amine Market – Growth, Trends And Forecast (2021 – 2026) By Types, By Application, By Regions and By Key Players – Huntsman,BASF,Wuxi Acryl Technology Co., Ltd,Clariant, « Previous Poly Ether Amine Market Analysis Poly Ether Amine Market Research Poly Ether Amine Market Size Poly Ether Amine Market Share Poly Ether Amine Market Technology Poly Ether Amine Market Scope Poly Ether Amine Market Opportunity Poly Ether Amine Market Trend Poly Ether Amine Market Outlook Poly Ether Amine Market 2021 Poly Ether Amine Market Forecast