1,317
views
views
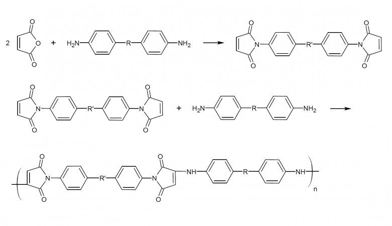
IMR Market Reports: Bismaleimide Market is growing at a faster pace with substantial growth rates over the last few years and is estimated that the market will grow significantly in the forecasted period i.e. 2021 to 2027.
